 
[푸드투데이 = 노태영기자] 농촌진흥청(청장 이승돈, 이하 농진청)은 한우 고기 부위 중 등심과 안심에서 서로 다르게 활동하는 유전자 7종을 새롭게 확인했다고 31일 밝혔다.
이번 연구는 한우 등심과 안심 조직을 비교해 각 부위에서 어떤 유전자가 활발히 작동하는지를 분석한 결과로 감각적 요인으로만 구분되던 부위별 맛과 식감의 차이를 분자적 수준에서 구명했다는 점에서 의미가 있다.
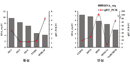
연구진 분석 결과, 등심에서는 374개, 안심에서는 206개의 유전자가 상대적으로 많이 발현됐으며, 등심에서는 근섬유 생성과 지방 합성 관련 유전자가 활발히 작용해 근내지방(마블링) 형성과의 연관 가능성을 확인했는데 근육 발달과 지방 축적이 동시에 강화되면서 등심 특유의 부드럽고 고소한 풍미가 형성된 것이라고 농진청은 설명했다.
안심에서는 근육 발달과 에너지 대사 관련 유전자 발현이 높게 나타났으며 안심은 다른 근육에 비해 활동량이 적어 조직이 부드럽고 지방 함량이 낮은데, 이러한 조직 특성이 유전자 발현에도 영향을 미쳤다고 덧붙였다.
연구진은 두 부위를 구분 짓는 대표 유전자 10종씩 총 20종을 우선 선발하고, 정량분석을 진행했고, 이를 통해 실제 근육 조직에서 차이를 재검증한 결과, 부위별 특이 유전자 7종을 최종 선발했으며, 등심과 안심의 육질 차이를 유전적·생화학적으로 설명할 수 있는 과학적 근거를 제시했다는 점에서 의의가 있고, 앞으로 한우 부위별 특성 이해와 맞춤형 품질 관리 기술 개발의 기초 자료로 활용될 전망이라고 농진청은 전했다.
이번 성과는 국제학술지 애니멀 바이오테크놀로지(Animal Biotechnology)에 게재됐다.
류재규 농진청 국립축산과학원 동물바이오유전체과장은 “한우 고기의 부위별 육질 특성을 분자 수준에서 밝힌 의미 있는 연구”라며, “앞으로 육질 예측에 활용할 수 있는 유전자 표지(마커)를 지속적으로 발굴하고, 이를 한우 육질 평가와 품질 관리 기술 고도화에 적용해, 육질 향상과 산업 경쟁력 강화에 기여하겠다.”라고 밝혔다.



















