“박근혜정부가 일본 8개현의 모든 수산물 수입을 금지하였지만, 수산물을 주원료로 하는 수산물가공품에 대해서는 수입제한을 하지 않아 8개현 중 심지어 후쿠시마産 수산물가공품과 양념젓갈, 조미건어포 수입도 계속되고 있는 실정입니다”
후쿠시마 원전사고 이후 일본산 농산물과 수산물의 수입이 전반적으로 감소하고 있는 반면, 일본산 가공식품의 수입이 증가추세에 있는 까닭은 정부가 일본산 수입식품 안전관리대책이 허술하기 때문이라는 주장이 제기되었다.
국회 보건복지위원회 소속 남윤인순 민주당의원이 21일 식품의약품안전처에서 국정감사 자료로 제출한 ‘일본산 농산물과 가공식품, 수산물 수입 추이’를 분석한 결과에 따르면, 농산물과 수산물의 경우 수입이 전반적으로 감소추세에 있는 반면, 가공식품의 경우 2011년 한 해만 잠시 주춤했을 뿐 증가추세를 보이고 있는 것으로 나타났다.
남 의원은 “이 같은 현상은 정부가 수산물에 대해서는 수입을 금지하는 반면 수산물가공식품에 대해서는 수입을 허용하는 등 일본산 수입식품에 대한 안전관리를 허술하게 해왔기 때문”이라고 지적했다.
후쿠시마 원전사고 발생 직후 해인 2012년의 일본삭 식품 수입과 발생 직전 해인 2010년의 수입을 비교 분석한 결과, 중량기준으로 농산물은 59.1%, 건강기능식품은 51.1%, 식품첨가물은 39.5%, 수산물은 68.1% 각각 감소한 것으로 나타났으나, 가공식품의 경우 오히려 6.9% 증가한 것으로 나타났다.
또한, 일본산 가공식품의 수입추이를 구체적으로 살펴보면 2010년 4만3,598톤에서 2011년 4만293톤으로 소폭 감소하였다가 2012년 4만6,586톤으로 증가하였으며, 금년 들어 9월말현재 5만822톤으로 증가추세를 지속하고 있는 것으로 집계되었다.

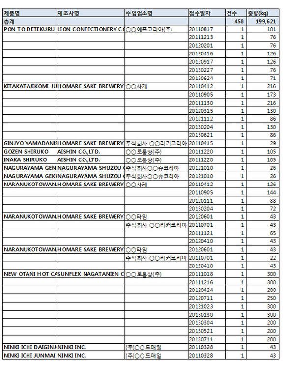
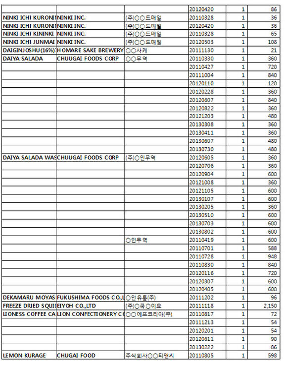
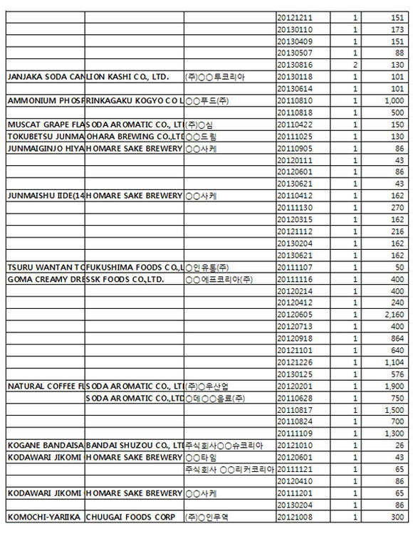
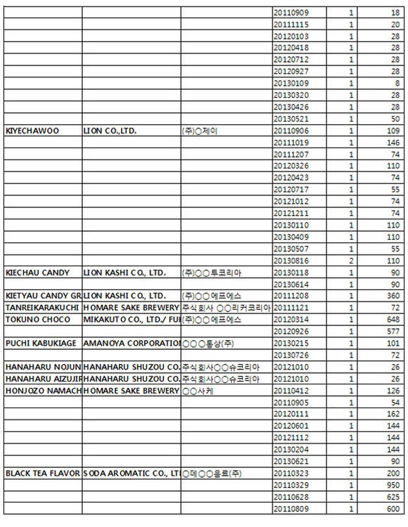
남 의원은“한국정부는 일본정부가 행한 출하제한 품목, 즉 13개현 26개 품목의 농산물과 8개현 50개 품목의 수산물에 대해 지난 2011년 3월25일 수입중단 조치를 하고, 금년 9월6일에는 일본 8개현의 모든 품목의 수산물에 대해 수입중단 조치를 하였지만, 이들 수산물을 주원료로 하는 수산물가공품에 대해서는 수입제한을 하지 않는 등 이중적인 행태를 보이고 있다”고 지적하고, “정부의 일본산 수입식품 안전관리대책의 허점 때문에, 후쿠시마 원전사고 이후 금년 8월까지 후쿠시마현에서 수입한 일본산 농산물과 가공식품 19만9,621kg 중에서 수산물가공품이 차지하는 비중이 무려 51.6%인 10만3,058kg에 달한 것으로 분석되었다”고 밝혔다.

이어“한국정부는 후쿠시마현의 쌀은 수입을 금지하면서도, 쌀로 만든 청주(사케)의 수입은 허용하고 있는 실정으로, 이 때문에 원전사고 이후 금년 8월까지 후쿠시마産 청주(사케)의 수입이 126건 2만3,454kg에 달했다”면서 식품의약품안전처가 제출한 국정감사 자료 ‘후쿠시마産 농산물과 가공식품 품목별 현황’을 공개할 것을 촉구했다.
또한,“일본정부의 방사능 안전관리가 철저하게 이루어지고, 일본산 수입식품의 안전에 대한 국민적 신뢰가 회복될 때까지 후쿠시마와 인근 현의 수산물과 수산물가공품뿐 아니라 모든 식품에 대해서 수입을 중단하는 방안을 적극 검토해야 한다”고 주장했다.
<일본 후쿠시마産 20만kg 수입 상세내역>































